Дата и час: 07 Апр 2026, 20:31




Напиши нова тема Отговори на тема  [ 83 мнения ]  Отиди на страница Предишна  1, 2, 3, 4, 5, 6
Автор Съобщение
 Заглавие: Re: Изпит по ВА. Задачи. Дискусия
МнениеПубликувано на: 04 Юли 2008, 10:59 
Offline
В началото бе словото
Аватар

Регистриран на: 10 Авг 2007, 10:32
Благодарил (а): 11 пъти.
Поблагодарили: 17 пъти.
ха и аз имах 5а и 9а тема :shock: начи се повтарят се тая ох поне мина :lol: :drunken:

_________________
Изображение


Върнете се в началото
 Профил  
Отговори с цитат  
 Заглавие: Re: Изпит по ВА. Задачи. Дискусия
МнениеПубликувано на: 04 Юли 2008, 11:51 
Offline
High in the Sky
Аватар

Регистриран на: 19 Фев 2007, 00:05
Местоположение: Somewhere there in the middle of Nowhere...
Благодарил (а): 0 пъти.
Поблагодарили: 2 пъти.
10 и 17 - двете, които не знаех! 4!!!!!!!!!!!!!!!!!!

_________________
"Няма нищо по-лошо от тъп човек, който се мисли за особено интелигентен." И.А.


Върнете се в началото
 Профил  
Отговори с цитат  
 Заглавие: Re: Изпит по ВА. Задачи. Дискусия
МнениеПубликувано на: 05 Юли 2008, 14:19 
Offline
От дъжд на вятър
Аватар

Регистриран на: 24 Фев 2006, 15:10
Местоположение: София
Благодарил (а): 0 пъти.
Поблагодарили: 0 пъти.
Е, Ели, ти какво искаш? Тия зазубряния на доказателства не са ми по възможностите :D Покрай тях намразвам и всичко останало и е естествено да му ъъъ-кам :D Добре, че беше писмения...


Върнете се в началото
 Профил  
Отговори с цитат  
 Заглавие: Re: Изпит по ВА. Задачи. Дискусия
МнениеПубликувано на: 01 Дек 2008, 16:12 
Offline
В началото бе словото

Регистриран на: 01 Дек 2008, 14:06
Благодарил (а): 0 пъти.
Поблагодарили: 0 пъти.
Цитат:
Има и още едно помощно твърдение за неразложимост.
Полинома f(x) не разложим в полето F тогава и само тогава когато f(a*x+b) е неразложим в F. Където a, b са от F.

Как се доказва това? (или къде мога да го видя online)
Благодаря предварително!


Върнете се в началото
 Профил  
Отговори с цитат  
 Заглавие: Re: Изпит по ВА. Задачи. Дискусия
МнениеПубликувано на: 28 Юни 2009, 11:40 
Offline
В началото бе словото
Аватар

Регистриран на: 19 Авг 2008, 10:12
Местоположение: София
Благодарил (а): 0 пъти.
Поблагодарили: 0 пъти.
Изображение

Кой има желание да ми пообясни как стават тези задачи?

_________________
Един за всички и всичко пак за мен ; )


Върнете се в началото
 Профил  
Отговори с цитат  
 Заглавие: Re: Изпит по ВА. Задачи. Дискусия
МнениеПубликувано на: 29 Юни 2009, 18:01 
Offline
Shall we shag now, or shag later?
Аватар

Регистриран на: 19 Апр 2009, 16:17
Местоположение: Софията
Благодарил (а): 18 пъти.
Поблагодарили: 86 пъти.
Мога да ти кажа как се решава само първата задача, защото за другите не знам матрияла :)

Започваш с намирането на трите корена на f(x) - x1,x2,x3.След като ги намериш със заместване намираш y1,y2,y3 и тогава g(y) ще бъде равно на (y-y1)(y-y2)(y-y3). Разкриваш скобите,съкращаваш и си готов/а.

:king:

_________________
Компютърни науки 1 курс


Върнете се в началото
 Профил  
Отговори с цитат  
 Заглавие: Re: Изпит по ВА. Задачи. Дискусия
МнениеПубликувано на: 29 Юни 2009, 18:38 
Offline
В началото бе словото
Аватар

Регистриран на: 19 Авг 2008, 10:12
Местоположение: София
Благодарил (а): 0 пъти.
Поблагодарили: 0 пъти.
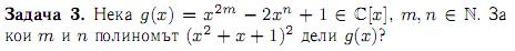
Благодаря! Идеи за тази?!


Прикачени файлове:
zad3.JPG
zad3.JPG [ 6.96 KiB | Прегледано 470 пъти ]

_________________
Един за всички и всичко пак за мен ; )
Върнете се в началото
 Профил  
Отговори с цитат  
 Заглавие: Re: Изпит по ВА. Задачи. Дискусия
МнениеПубликувано на: 29 Юни 2009, 19:37 
Offline
Shall we shag now, or shag later?
Аватар

Регистриран на: 19 Апр 2009, 16:17
Местоположение: Софията
Благодарил (а): 18 пъти.
Поблагодарили: 86 пъти.
Треа малко да я помисля... :pale:

Едит: Сори, за тая не мога да се сетя.Явно не решаваме достатъчно задачи за делимост в училище. Всъщност като се замисля изобщо не решаваме, а тази задача е на ниво олимпиада 2-3 кръг.

_________________
Компютърни науки 1 курс


Върнете се в началото
 Профил  
Отговори с цитат  
Покажи мненията от миналия:  Сортирай по  
Напиши нова тема Отговори на тема  [ 83 мнения ]  Отиди на страница Предишна  1, 2, 3, 4, 5, 6


   Подобни теми   Автор   Отговори   Преглеждания    Последно мнение 
Няма непрочетени мнения в тази тема. Математика задачи –Теория на графите - 4/5 задачи 30лв

в Работа, стаж и кариера

ramrange

1

994

21 Окт 2010, 10:25

Etiainen Преглежда последните мнения


Кой е на линия

Потребители разглеждащи този форум: 0 регистрирани и 2 госта


Вие не можете да пускате нови теми
Вие не можете да отговаряте на теми
Вие не можете да променяте собственото си мнение
Вие не можете да изтривате собствените си мнения
Вие не можете да прикачвате файл

Търсене:
Иди на:  
Powered by phpBB © 2000, 2002, 2005, 2007 phpBB Group
Преведено от: SEO блог на Йоан Арнаудов